Στη Βουλή κατατέθηκε σήμερα, Δευτέρα 15 Δεκεμβρίου 2025, το νομοσχέδιο του Υπουργείου Εθνικής Άμυνας με τίτλο «Χάρτης Μετάβασης των Ενόπλων Δυνάμεων στη Νέα Εποχή».
Άμυνα: Κατατέθηκε στη Βουλή το νέο νομοσχέδιο του υπουργείου Άμυνας- Δείτε τις αλλαγές σε μισθούς, βαθμολόγιο και αναβολές στις Ένοπλες Δυνάμεις
Το σχέδιο περιλαμβάνει ρυθμίσεις που αφορούν τη σταδιοδρομία και την εξέλιξη Αξιωματικών, μονίμων Υπαξιωματικών και Επαγγελματιών Οπλιτών, μισθολογικές αναπροσαρμογές, αναδιοργάνωση της στρατιωτικής εκπαίδευσης, εθελοντική στράτευση γυναικών, και άλλες σημαντικές διατάξεις.
Το νομοσχέδιο εντάσσεται στο πλαίσιο της «Ατζέντας 2030», είχε παρουσιαστεί από τον Υπουργό Εθνικής Άμυνας Νίκο Δένδια και είχε εγκριθεί από το Υπουργικό Συμβούλιο υπό τον Πρωθυπουργό Κυριάκο Μητσοτάκη στις 30 Σεπτεμβρίου 2025.
Το σχέδιο νόμου περιλαμβάνει μια σειρά από θεσμικές αλλαγές, με κύριους στόχους:
-
Οργανικά και βαθμολογικά θέματα
-
Καθορισμός οργανικών θέσεων για Αξιωματικούς ανά Κλάδο, προέλευση, βαθμό και κατηγορία.
-
Αναδιοργάνωση των Συμβουλίων Κρίσεων και προϋποθέσεων παραμονής των Αξιωματικών.
-
Θέσπιση νέων βαθμών για μόνιμους Υπαξιωματικούς και Επαγγελματίες Οπλίτες (ΕΠΟΠ).
-
-
Μισθολογικές ρυθμίσεις
-
Επανεξέταση των βασικών μισθών και των μισθολογικών κλιμακίων ανά κατηγορία προέλευσης και έτη υπηρεσίας.
-
Δημιουργία μισθολογικών βαθμίδων που αντανακλούν τη σταδιακή εξέλιξη των στελεχών.
-
-
Εκπαίδευση και ακαδημαϊκή αναβάθμιση
-
Σύσταση της Διακλαδικής Διοίκησης Ακαδημαϊκής Εκπαίδευσης (ΔΙΔΑΕ) για τον συντονισμό των στρατιωτικών σχολών.
-
Συνεργασία της ΣΕΘΑ και της ΑΔΙΣΠΟ με ΑΕΙ και ΑΣΕΙ για την εκπόνηση μεταπτυχιακών προγραμμάτων.
-
-
Στρατολογία και εθελοντική στράτευση
-
Ρυθμίσεις για αναβολές σπουδαστών, μόνιμων κατοίκων εξωτερικού και ατόμων με ψυχικές παθήσεις.
-
Θεσμοθέτηση εθελοντικής στράτευσης γυναικών και κίνητρα για κατάταξη ανυπότακτων μέχρι 31/12/2027.
-
-
Εκπαίδευση οπλιτών και εφεδρεία
-
Καθορισμός διάρκειας και περιεχομένου βασικής, ειδικής και μονάδων ετοιμότητας εκπαίδευσης.
-
Ρυθμίσεις για επιμόρφωση μέσω Κέντρων Διά Βίου Μάθησης και συμμετοχή στην εφεδρεία.
-
-
Άλλα ζητήματα
-
Υγειονομική εξέταση και απόλυση ΕΠΟΠ, καθώς και θέματα Στρατιωτικής Δικαιοσύνης.
-
Άμυνα: Κατατέθηκε στη Βουλή το νέο νομοσχέδιο του υπουργείου Άμυνας- Δείτε τις αλλαγές σε μισθούς, βαθμολόγιο και αναβολές στις Ένοπλες Δυνάμεις
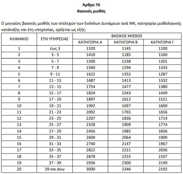
Νέο μισθολόγιο των Ενόπλων Δυνάμεων
Η μισθολογική εξέλιξη συνδέεται με τα έτη υπηρεσίας: για μετάβαση από το πρώτο στο δεύτερο μισθολογικό κλιμάκιο απαιτούνται τρία έτη, ενώ για κάθε επόμενο κλιμάκιο δύο έτη. Το νέο νομοσχέδιο καθορίζει τους μηνιαίους μισθούς των στελεχών ανά κατηγορία και έτος υπηρεσίας, δημιουργώντας σαφή και σταδιακή εξέλιξη.
Ο μηνιαίος μισθός των στελεχών των Ενόπλων Δυνάμεων ανά μισθολογική, κατηγορία μισθολογικής κατάταξης και έτη υπηρεσίας, ορίζεται ως εξής, σύμφωνα με το νέο νομοσχέδιο:
Αλλαγές στο βαθμολόγιο
Μία από τις πιο σημαντικές αλλαγές αφορά το νέο Βαθμολόγιο:
-
Οι προαγωγές των μονίμων Υπαξιωματικών «παγώνουν» μέχρι το βαθμό του Ανθυπασπιστή.
-
Στελέχη που προάχθηκαν με προηγούμενο καθεστώς, όπως απόφοιτοι ΑΣΣΥ του 2007, θα παραμείνουν στον ίδιο βαθμό μέχρι την αποστρατεία τους.
-
Οι ΕΠΟΠ αντιμετωπίζουν περιορισμένες δυνατότητες εξέλιξης, με παραδείγματα όπου η προαγωγή σε Επιλοχία Διοικήσεως θα ισχύει έως το 2039.
Το μέτρο ισχύει αναδρομικά, επηρεάζοντας στελέχη που ήδη υπηρετούν, ενώ επιφέρει σημαντικές αλλαγές στις στρατιωτικές σχολές και τη διαδρομή επαγγελματικής ανέλιξης.
Στρατιωτική θητεία, αναβολές και εφεδρεία
Το νέο νομοσχέδιο εισάγει εκσυγχρονισμένο πλαίσιο για τη στρατιωτική θητεία:
-
Θητεία πλέον και για γυναίκες, σε εθελοντική βάση.
-
Εκπαίδευση με νέες τεχνολογίες και διευρυμένα προγράμματα:
-
Βασική εκπαίδευση: 10 εβδομάδες
-
Ειδική εκπαίδευση: 4 εβδομάδες
-
Εκπαίδευση σε μονάδες ετοιμότητας: 12 εβδομάδες
-
-
Μετά την ολοκλήρωση, οι στρατιώτες εντάσσονται στην εφεδρεία, ενώ προβλέπονται επιπλέον δυνατότητες επιμόρφωσης και μετεκπαίδευσης.

Κάντε like στη σελίδα μας στο facebook για να μαθαίνετε όλα τα νέα